Громади Одещини, що на межі: хто потрапив у список фінансово слабких 

Громади Одещини, що на межі: хто потрапив у список фінансово слабких 

Громади Одещини, що на межі: хто потрапив у список фінансово слабких 

Події
25 листопада 2025 11:55

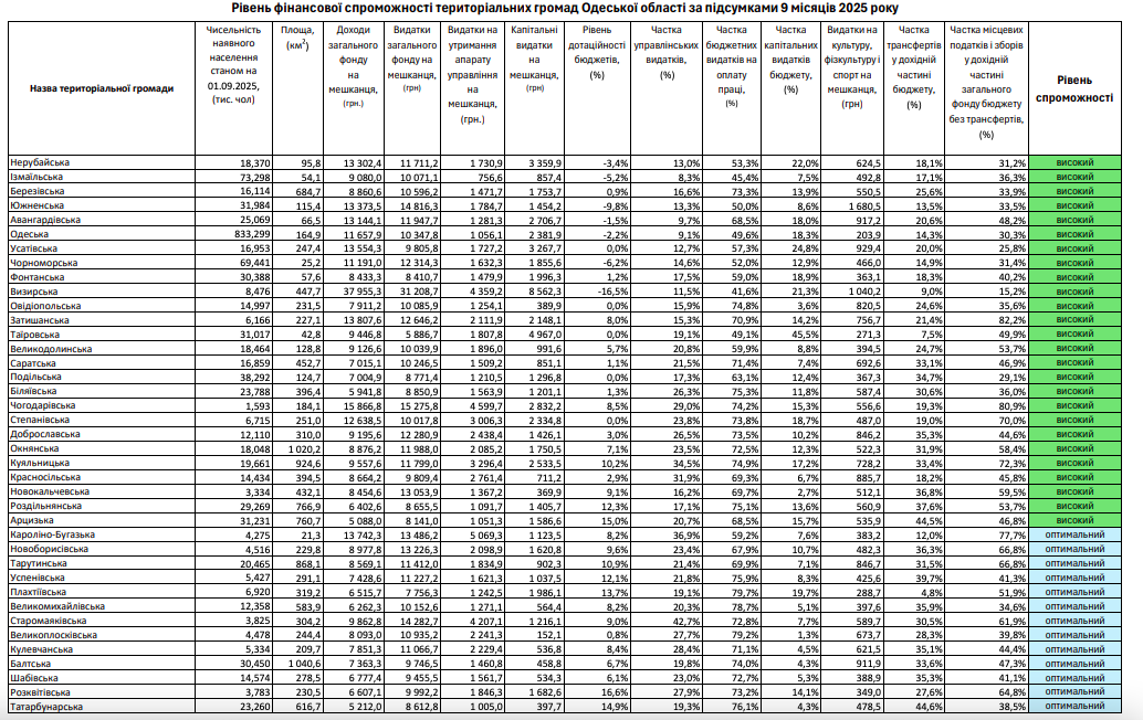
Хоча Одеська область є стратегічно важливою для України і має розвинену інфраструктуру, на місцевому рівні не всі громади почуваються впевнено. За підсумками 9 місяців 2025 року частина територіальних громад регіону визнана фінансово слабкими.

Йдеться про громади з незбалансованими бюджетами, високою дотаційною залежністю та відсутністю інвестицій у розвиток, повідомляють на порталі "Децентралізація".

Зараз все найоперативніше у нашому Telegram-каналі. Підписуйтесь, щоб бути в курсі найважливішої інформації

Що таке фінансова спроможність і чому це критично

Фінансова спроможність — це здатність громади самостійно забезпечувати потреби жителів. Якщо громада має високі доходи, витрачає кошти раціонально, інвестує в освіту, медицину, культуру — вона спроможна. Якщо ж основні витрати йдуть на зарплати чиновників і покриття боргів — це ознака слабкості.

Дані за 2025 рік демонструють: громади Одещини розділилися на чотири основні категорії — від "високого рівня" до "критичного". Зупинимося на найпроблемніших.

Громади з критичним рівнем: на межі виживання

До критично слабких потрапили ті, у кого бюджети не покривають навіть базові потреби. Такі громади не мають ресурсів на ремонти шкіл, лікарень, доріг або підтримку молоді. Практично всі кошти витрачаються на апарат управління та обслуговування. Капітальні інвестиції — майже нульові.

У цю категорію потрапили:

  • Петропавлівська ТГ: 4 121,9 грн доходу на мешканця, при витратах — 8 255,9 грн. Частка трансфертів — понад 53%, капітальні видатки — 2,1%.

Це означає, що громада виживає лише завдяки державним дотаціям і не має змоги розвиватися.

Громади з низьким рівнем: високі витрати, малі надходження

У громадах з низьким рівнем власні надходження залишаються недостатніми, а витрати на зарплати та утримання адміністрацій — надто високі. Частка капітальних інвестицій майже всюди не перевищує 5-10%.

До прикладу:

  • Курісовська: витрати 12 106,7 грн/мешк., доходи — лише 7 147,4 грн/мешк.;
  • Криничненська: доходи — 3 449,4 грн/мешк., витрати — понад 7 287 грн/мешк.;
  • Кубейська: доходи — 3 174 грн/мешк., трансфертів — понад 56%;
  • Мологівська: найменші доходи — 2 900,6 грн на мешканця, з високою дотаційною залежністю — 62,7%.

Бюджети таких громад не дозволяють навіть підтримувати наявну інфраструктуру. Люди в таких громадах відчувають постійний дефіцит послуг — від освіти до медицини.

Громади із задовільним рівнем: тримаються, але ризикують

Громади із задовільною спроможністю ще не «падають», але вже мають тривожні показники. Часто саме вони першими переходять до низького рівня, якщо не вжити заходів.

До таких належать:

  • Сергіївська: доходи — 4 550,4 грн/мешк., частка трансфертів — 35,3%;
  • Петровірівська: третина бюджету — на управління, капітальні видатки — менше 8%;
  • Суворовська, Дальницька, Василівська, Старокозацька: усі мають значну частку видатків на апарат, майже без інвестицій у культуру, спорт чи інфраструктуру.

Такі громади ризикують потрапити до ще гіршої категорії без оптимізації витрат і залучення додаткових джерел доходу.

Громади Одещини, що на межі: хто потрапив у список фінансово слабких  фото 1Громади Одещини, що на межі: хто потрапив у список фінансово слабких  фото 1

Громади Одещини, що на межі: хто потрапив у список фінансово слабких  фото 2 1Громади Одещини, що на межі: хто потрапив у список фінансово слабких  фото 2

Громади Одещини, що на межі: хто потрапив у список фінансово слабких  фото 3 2Громади Одещини, що на межі: хто потрапив у список фінансово слабких  фото 3

Що можуть зробити громади, аби змінити ситуацію

Навіть за обмежених ресурсів можна змінити ситуацію, якщо громада працює стратегічно:

  • оптимізувати видатки на апарат — менше адміністрації, більше послуг;
  • розвивати місцеві податки та збори — не чекати на дотації;
  • створювати умови для бізнесу та зайнятості;
  • залучати інвесторів, писати грантові проєкти;
  • активно працювати з громадою — від відкритих бюджетів до участі у прийнятті рішень.

Раніше, ми писали про те, що міська влада Одеси планує закрити кредит, який був узятий у серпні 2025 року на розвиток критичної інфраструктури та підтримку соціальних об’єктів. 

Підписуйтесь на нас в Instagram, Facebook і Viber, щоб швидше дізнаватися про всі новини та читати наші ексклюзивні огляди.

Це чат - пиши та читай 👇
Ого! ти доскролив до нашого чатбота 😏
Тепер у тебе є можливість налаштувати його під себе і дізнаватися важливий контент першим, щоб розповідати друзям
Тільки пошта, тільки хардкор 🤘
Ми в соцмережах